手元の紙に「書かないで」答えてください
答えを出すには枠をクリック。再度クリックすると消えますので、何回でもやりなおしできます。
作者


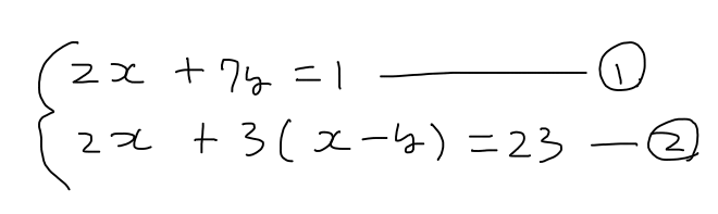
(1)

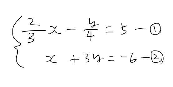
(2)

(3)

(6)

(4)

(5)